Budget determines what I can buy.
Utility function (preferences) determine how I value those affordable alternatives.
Which bundle do I buy?
The bundle with the highest utility among the affordable.
We call this bundle the Rational Constrained Choice.
Tangency Solution: When preferences are well behaved (smooth, convex, …), then at the optimal bundle: $ MRS = \frac{−p_1}{p_2} $ (for example Cobb-Douglass preferences)
Corner solutions or “boundary optimum”: if $ MRS > \frac{−p_1}{p_2} $ or $ MRS < \frac{−p_1}{p_2} $ always (for example: perfect substitutes)
Kink optimality: if preferences are “kinky” (for example: perfect complements)

Suppose your preferences look like Cobb-Douglass (smooth, convex).
You have a BC and you are considering buying $ (x_1’, x_2’) $ such that $ x_1’>0, x_2’>0 $ on the BC.
Suppose that only thing you know is that your MRS, at the bundle $ (x_1’, x_2’) $, is higher in magnitude than $ p_1 / p_2$. That is, the associated indifference curve is steeper than the budget constraint.
Should you buy the bundle $ (x_1’, x_2’) $?
No.
If MRS is steeper than BC, it means that at that point you value $ x_1 $ more than the market. So…
Buy more of that good 1.
But how much more?
Up to a point in which you and the market value $ x_1 $ the same (relative to $ x_2 $)
First optimality condition: $ MRS = \frac{−p_1}{p_2} $
Steps to find the optimal bundle (aka the demanded bundle) for tangency cases:
Identify clearly the utility function.
Calculate the $ MRS $, it will be a function of $ x_1, x_2 $ and (possibly) on some parameters of the utility function.
Set the tangency condition: $ MRS = - \frac{p_1}{p_2} $ call this Equation 1.
Identify the budget constrain and call it Equation 2.
Equation 1 and Equation 2 form a 2-equation-2-unknowns system, so you can solve for the two unknowns: $ x_1 $ and $ x_2 $.
Let’s apply these steps to the case of Cobb-Douglas preferences: $ U(x_1, x_2) = x_1^{0.5} x_2^{0.5} $
Tangency : $ MRS = - \frac{x_2}{x_1} $. Equate MRS to: $ - \frac{p_1}{p_2} $ (Eq1)
Budget constraint : $ p_1 x_1 + p_2 x_2 = m $ (Eq2)
[ solve for x1 and x2 in the system of two equations – details in doc camera ]
Optimal bundle: $ x_1^{*} = \frac{1}{2} \frac{m}{p_1} $ and $ x_2^{*} = \frac{1}{2} \frac{m}{p_2} $
Note if you have Cobb-Douglass utility, $ U = x_1^{a} x_2^{b} $, you can always use method 1.
Exercise: apply method 1 to this utility function: $ U = x_1^{a} x_2^{b} $
An alternative to method 1, is a more general method called the Lagrange Method that we will cover later.
The most typical case of this type of solution is with perfect substitutes preferences.
Steps to finding the optimal bundle when x_1 and x_2 are perfect substitutes:
Calculate the $ MRS $, it will be a function of $ x_1, x_2 $ and (possibly) on some parameters of the utility function.
Compare its magnitude to the price ratio: $ \frac{p_1}{p_2} $.
If $ |MRS| > \frac{p_1}{p_2} $, then all income is spent on good 1: $ x_1 = m / p_1 $ and $ x_2 = 0 $
If $ |MRS| < \frac{p_1}{p_2} $, then all income is spent on good 2: $ x_2 = m / p_2 $ and $ x_1 = 0 $
If $ |MRS| = \frac{p_1}{p_2} $ any bundle that exhaust income will be optimal.
Say, $ u = 2 x_1 + x_2 $
$ MRS = - 2 / 1 = - 2 $
Compare |MRS| to price ratio: 2 vs. $ \frac{p_1}{p_2} $.
If $ \frac{p_1}{p_2} < 2 $, then: $ x_1 = m / p_1 $ and $ x_2 = 0 $
If $ \frac{p_1}{p_2} > 2 $, then: $ x_1 = 0 $ and $ x_2 = m / p_2 $
If $ \frac{p_1}{p_2} = 2 $, any $ (x_1, x_2) $ such that $ p_1 x_1 + p_2 x_2 = m $ is optimal.
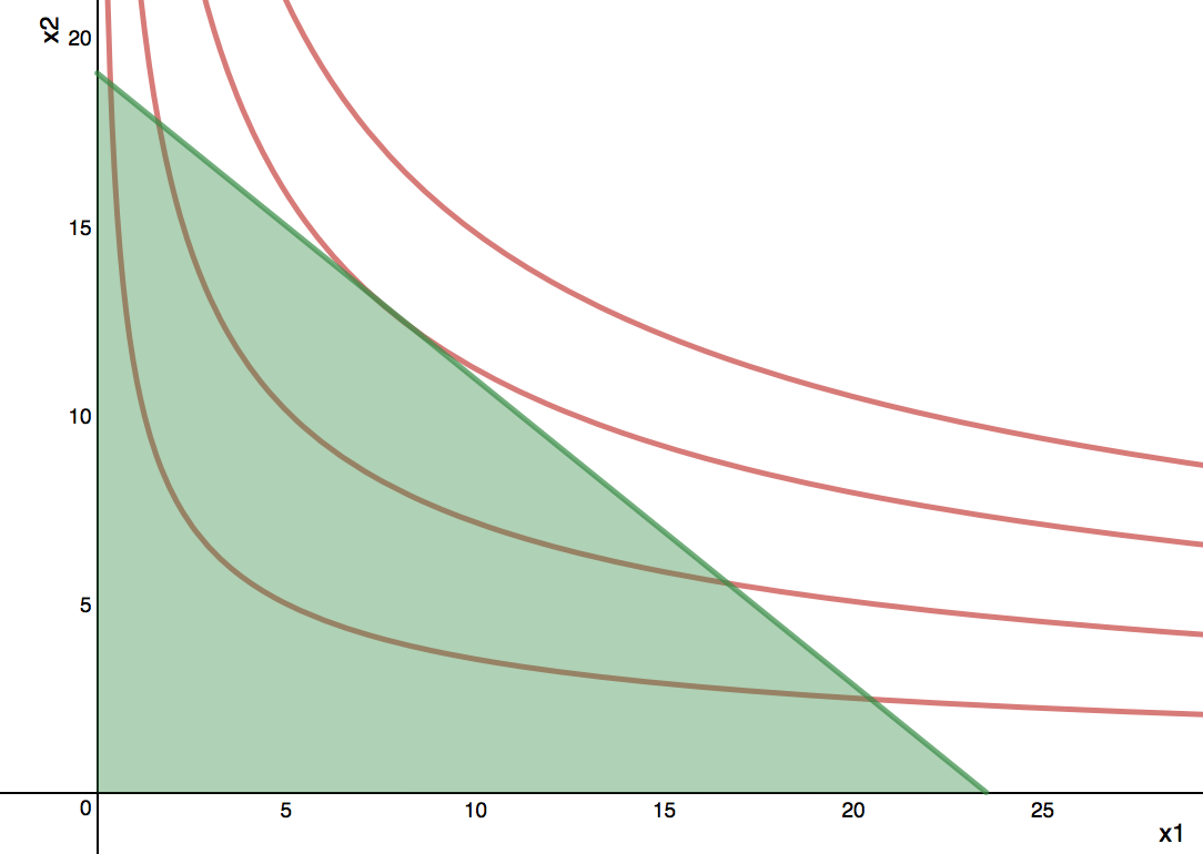
See graphs in document camera
See graphs on EconGraphs
Most cases of “kink” solutions appear because of “perfect complement” preferences.
Steps to find the optimal bundle under “perfect complement” preferences:
Identify clearly the utility function: $ U = \textrm{min} \{ \frac{x_1}{\alpha}, \frac{x_2}{\beta} \} $, for $ \alpha, \beta > 0 $
Calculate the optimal consumption path: $ \frac{x_1}{\alpha} = \frac{x_2}{\beta} $. Call this Equation 1.
Identify the budget constraint and call it Equation 2.
Equation 1 and Equation 2 form a 2-equation-2-unknowns system, so you can solve for the two unknowns: $ x_1 $ and $ x_2 $.
$ U = \textrm{min} \{ \frac{x_1}{2}, x_2 \} $.
Optimal consumption path: $ \frac{x_1}{2} = x_2 $. This is Equation 1.
Budget Constraint $ m = p_1 x_1 + p_2 x_2 $
Optimal bundle: $ x_1^{*} = \frac{m}{p_1 + p_2/2} $ and $ x_2^{*} = \frac{m}{2 p_1 + p_2} $
We are back to case 1 or “tangency solution”.
Conditions:
Utility function is differentiable and preferences are convex,
$ MRS(0,y) = infinity $ and $ MRS(x,0) = 0 $
E.g. Cobb-Douglas satisfies these conditions.
You can always use the Lagrange’s method.
Set Problem: $ \textrm{maximize} \quad U(x_1, x_2) $ subject to: $ m = p_1 x_1 + p_2 x_2 $
Solve system of three equations for three unknowns (x1, x2, λ)
You can obtain the “tangency condition” from using the first two conditions or equations of the Lagrangean method.
Notice that: $ \frac{\partial U}{\partial x_1} - \lambda p_1 = 0 $ can be rewritten as: $ \frac{MU_1}{p_1} = \lambda $
Similarly, $ \frac{\partial U}{\partial x_2} - \lambda p_2 = 0 $ can be rewritten as: $ \frac{MU_2}{p_2} = \lambda $
Therefore we can equate those to and obtain: $ \frac{MU_1}{p_1} = \frac{MU_2}{p_2} $
…which can be rewritten as: $ \frac{MU_1}{MU_2} = \frac{p_1}{p_2} $
which is nothing but the tangency condition.
In general, the Lagrangean method gives you $ n+1 $ equations, where n is the number of goods in the utility function.
The first n equations are $ \frac{\partial L}{\partial x_i} = 0 $ for $ i = 1, …, n$.
The last equation, $ \frac{\partial L}{\partial \lambda} = 0 $, boils down to the budget line, always.
With the n + 1 we need to find the solution for the n expressions for $ x_1, …, x_n $ and for $ $.
Consider: $ \quad U(x_1, x_2) = x_1^{0.5} + x_2^{0.5} $
Problem: $ \quad \textrm{maximize} \quad x_1^{0.5} + x_2^{0.5} $ subject to: $ m = p_1 x_1 + p_2 x_2 $
Lagrange’s function: $ \quad L = x_1^{0.5} + x_2^{0.5} - \lambda ( p_1 x_1 + p_2 x_2 - m) $
Solution good 1: $ \quad x_1^* = \frac{ m }{ p_1 + p_2 } \frac{ p_2 }{ p_1 } $
Solution good 2: $ \quad x_2^* = \frac{ m }{ p_1 + p_2 } \frac{ p_1 }{ p_2 } $
$ U(x_1, x_2) = x_1^{1/2} x_2^{1/2} $
$ U(x_1, x_2) = x_1^{1/4} x_2^{3/4} $
=> $ U(x_1, x_2) = x_1^{a} x_2^{b} $
$ U(x_1, x_2) = x_1^{a} x_2^{1-a} $
$ U(x_1, x_2) = (1/4) ln(x_1) + (3/4) ln(x_2) $
$ U(x_1, x_2) = a x_1 + b ln(x_2) $

